七、特征值与特征矢量

[特征值与特征矢量] n阶方阵

A=

n维非零列矢量

=(a1,a2,...,an)t

如果有一个数λ,使得

Aα=λα

则称λ为矩阵A的特征值(特征根),α为矩阵A的特征值λ所对应的特征矢量.

矩阵A的所有特征值中绝对值最大的一个称为A的第一特征值.

[特征矩阵· 特征多项式· 特征方程] n阶方阵

A=

的特征矩阵定义为

式中In阶单位矩阵.行列式|AλI|称为矩阵A的特征多项式,记作

jl=|λI|

方程

jl)=0

称为矩阵A的特征方程.

[矩阵的迹与谱] n阶方阵A的主对角线上各元素之和称为A的迹,记作

特征方程jl )=0的n个根l 1l 2...l n就是矩阵An个特征值.集合{l 1l 2...l n }称为矩阵A的谱,记作chA.

线性齐次方程组

的非零解a 便是矩阵A的特征值l i所对应的特征矢量.

[特征值与特征矢量的性质]

l 1l 2...l nn阶方阵An个特征值,则

Ak的特征值为 k为正整数).

A的逆矩阵A1的特征值为.

A的伴随矩阵A*的特征值为.

n阶方阵An个特征值之和等于A的迹,矩阵An个特征值之积等于A的行列式,即

l1+l2+...+ln=a11+a22+...+ann

由此可以推出矩阵可逆的另一充分必要条件是:A的所有特征值都不为零.

li是特征方程的k重根,则对应于li的线性无关的特征矢量的个数不大于k.li为单根时,对应于li的线性无关特征矢量只有一个.

矩阵A的不同特征值所对应的特征矢量线性无关.

n阶方阵A对应于特征值l1l2...ls的线性无关的特征矢量分别有k1,k2,...,ks个,则这个特征矢量线性无关,且.

实对称矩阵的特征值都是实数,并且有 n个线性无关(而且是正交)的特征矢量.

矩阵的特征值在相似变换下保持不变,特别,At A具有相同的特征值.

[求第一特征值的迭代法] 在实际问题中,往往不要求算出矩阵A的全部特征值,只需算出第一特征值,用迭代法计算如下:

假定当时,可以认为a(k)a(m+1),那末迭代到即可.这时为矩阵A的第一特征值的近似值,a(m+1)为所对应的特征矢量.

[求实对称矩阵的雅可比法] n阶实对称矩阵A=(aij)的特征值是l1l2...ln,则必存在一正交矩阵Q,使得

Qt AQ=

为对角矩阵.正交矩阵Q可用一系列旋转矩阵的积来逼近:

Q=

式中

因为在这种旋转变换下,消去了矩阵中位于第p行第q(p¹ q)交点上的元素(见本节,五),而矩阵所有元素的平方和保持不变,而且对角线上的元素的平方和增大,因而非对角线元素的平方和随之减小,因此,当旋转次数足够大时,可使非对角线元素的绝对值足够小.对于预先给定的精度e >0,如果|aij<e (i¹ j),则可认为aij0.于是得到求矩阵A的特征值与特征矢量的具体迭代方法.

按以下递推公式求特征值l1l2...ln

假定当时,可以认为,则迭代到即可.而取作为li的近似值:

求特征矢量

=

Pm=U1…Um-1Um

APm= Pm

所以Pm为特征矢量矩阵.

Pm由下列递推公式算出:

最后得到

为对应于特征值l i的特征矢量的近似值.

[求对称三对角矩阵特征值的方法]

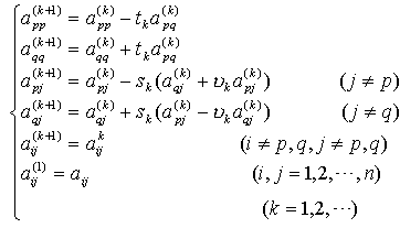
相似变换法 An阶对称三对角矩阵:

A= (1)

经过相似变换

式中I为单位矩阵,tk为适当选定的常数,Ui为雅可比旋转矩阵:

Ui的转置矩阵.A1=AAk+1I相似,且Am相似.因此,若Am的特征值为,则A1的特征值l i(i=1,2,...,n)

(i=1,2,…,n)

假定当时,可认为,那末可适当选择sici,使得当m充分大时,Am在该精度下化为对角线矩阵;其特征值.

(i=1,2,...,n)可由下列递推公式算出:

tk的选择对收敛速度影响较大,取tk为二阶矩阵

的接近于的那个特征值,即

tk =

式中

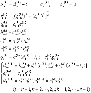
二分法 An阶对称三对角矩阵(如(1)式),对任意l ,设序列

q1(l )=d1?l

qi(l )=

qi(l )<0的个数为N(l )(在这些关系式中,对于某些i,如果qi-1(l )=0,则只需用适当小的数代替即可),则N(l )等于矩阵A 的小于l 的特征值的个数.

假定矩阵A的第k个特征值lk(l1l2lkln) 在区间[u,]中,令 ,N(r1)k时,则l kÎ [u, r1];当N(r1)<k时,则lkÎ [ r1,];…依此类推,m步之后,l k包含在宽度为的区间中.m充分大时,便可得到所求的特征值.