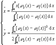
四、求重心

[平面图形几何重心坐标的计算公式]

几何重心

平面曲线

曲边梯形

[物体总质量与重心坐标的计算公式]

物体形状及密度

总质量M与重心

薄板

是薄板的面密度

物体形状及密度

总质量M与重心

是物体的密度

式中ds 为弧的微分,以上积分为曲线积分。